Zur (Fehl-)Interpretation der Korrelation unter Solvency II

Das Konzept der Korrelation spielt unter Solvency II eine besondere Rolle, z.B. in der Säule I bei der Ermittlung des Gesamt-SCR, welches mittels nichtlinearer Gewichtung durch Korrelationen („Wurzelformel“) aus den SCR der Submodule berechnet wird. Hierdurch soll ein gewisser Diversifikationseffekt berücksichtigt werden (vgl. etwa Gründl und Kraft (2019), Kapitel 4.3.2). Insofern sind plakative Beispiele zur Veranschaulichung der Korrelation nützlich und sinnvoll. Allerdings gehen solche in der Regel einfachen Beispiele, wie etwa in Gründl und Kraft (2019), Kapitel 4.3.4, am Kern der Sache vorbei. In diesem Beitrag wollen wir die damit verbundene Problematik etwas genauer beleuchten.

Zunächst muss klar unterschieden werden, ob man das Eintreten oder Nichteintreten eines Risikos betrachten will oder die mit dem Risiko verbundenen finanziellen Auswirkungen. Auf den ersten Fall bezieht sich z.B. eine Ausführung im Glossar von Gründl und Kraft (2019), S. 260; dort wird unter dem Stichwort „Korrelation“ ausgeführt:

„Korrelationskoeffizienten können Werte von –1 bis +1 annehmen. Eine Korrelation von +1 entspricht einer Gleichläufigkeit von Risiken (die beiden betrachteten Risiken treten gemeinsam auf). Umgekehrt entspricht eine Korrelation von –1 einer Gegenläufigkeit von Risiken (wenn das eine eintritt, tritt das andere nicht ein und umgekehrt).“

Dies ist eine mathematisch korrekte Formulierung, die allerdings nur für das Eintreten oder Nichteintreten eines Risikos gilt. Weiter wird dort ausgeführt:

„Bei Korrelationskoeffizienten von < 1 (nicht voll korreliert) ist die Summe zweier Risiken größer als die mit Hilfe des Korrelationskoeffizienten aggregierten Risiken. Die Differenz zwischen der Summe der Risiken und der aggregierten Risiken ist ein Maß für Diversifikationseffekte.“

Dies bezieht sich offenbar auf die zweite obige Betrachtungsweise und ist leider mathematisch falsch, vgl. etwa Pfeifer (2013, 2016). Ähnliche (falsche) Aussagen findet man auch in Doff (2011), S. 249 ff.

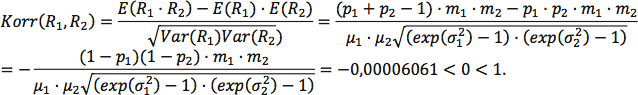
Wir greifen das genannte Beispiel in Gründl und Kraft (2019), welches sich an zwei Münzwürfen mit Erfolgswahrscheinlichkeit von je 0,5 orientiert, in leicht modifizierter Form auf. Dazu betrachten wir den Fall zweier Risiken R1 und R2 die mit den Wahrscheinlichkeiten p1=0,5 für Risiko 1 und p2=0,506 für Risiko 2 „eintreten“, d.h. positive Schadenzahlungen bewirken. Mit den Komplementärwahrscheinlichkeiten 1 – p1 bzw. 1 – p2 sind die Zahlungen Null, d.h. die Risiken treten nicht ein. Formal können die Risiken also beschrieben werden als Ri=Ii×Xi, wobei die Ii binomialverteilt sind mit P(Ii=1)=pi und die Xi strikt positive Zufallsgrößen sind, die die potenziellen Schadenzahlungen modellieren (dies ist ein Spezialfall des so genannten kollektiven Modells der Risikotheorie, vgl. etwa Heilmann und Schröter (2014), S. 148 ff.). Für die gemeinsame Verteilung der Ii betrachten wird die folgende Kontingenztafel mit den Einträgen P(I1=i,I2=j):

Abbildung 1: Tabelle

Es gilt dann

Kov(I1,I2) = E(I1×I2) – p1p2 = p1 + p2 – 1 – p1p2 = – (1-p1)(1-p2)

und damit für die Korrelation in dem vorliegenden Fall

Formel 1

Die Wahrscheinlichkeit für das gleichzeitige Eintreten beider Risiken beträgt hier

P(I1=I2=1) = p1 + p2 – 1 = 0,006 bzw.

Formel 2

d.h. in mindestens 1% der Fälle, in denen eines der beiden Risiken eintritt, tritt auch das andere ein.

Für die weitere Betrachtung wählen wir zunächst X1≡100 und X2≡50 Die Korrelation zwischen den (finanziellen Ausprägungen der) Risiken R1 und R2 bleibt damit gleich, also Korr(R1,R2)= -0,9881. Trotzdem ergibt sich hier kein Diversifikationseffekt, wie man der folgenden Tabelle der Verteilung des Summenrisikos entnehmen kann:

v 0 50 100 150
P(R1+R2=v) 0 1 – p1=0,5 1 – p2=0,494 p1 + p2 – 1=0,006
P(R1+R2≤v) 0 1 – p1=0,5 2 – p1-p2=0,994 1

Es ergibt sich für den Value at Risk zum Risikoniveau α = 0,005 (Solvency II-Standard, (1 – α)-Quantil der Risikoverteilung) für das Summenrisiko der Wert

VaR0,005(R1+R2) = 150 = 100 + 50 = VaR0,005(R1) + VaR0,005(R2).

Obwohl die Korrelation zwischen den Risiken fast –1 also der minimal mögliche Wert beträgt, ergibt sich hier dennoch kein (echter) Diversifikationseffekt. Ein solcher ergibt sich hier nur bei einer Korrelation von genau –1, d.h. p2 = 0,5 wie im Beispiel von Gründl und Kraft (2019).

Die Situation wird noch dramatischer, wenn für die Xi unabhängige lognormalverteilte Zufallsgrößen mit den Parametern mit µi = ln(mi) – 0,5·σ12 mit m1 = 100, m2 = 50 und σi = 3 gewählt werden. In diesem Fall gilt für die (bedingten) Erwartungswerte der Risken wieder

E(R1 | I1=1) = E(X1) = 100 und E(R2 | I2=1) = E(X2) = 50,

aber

Formel 3

(Zu den mathematisch möglichen Korrelationswerten lognormalverteilter Risiken vgl. etwa McNeil et al. (2015), Example 7.29).

Rechnerisch lassen sich die Value at Risk-Werte der Einzelrisiken hier noch berechnen zu

VaR0,005(R1) = 1192,98 und VaR0,005(R2) = 604,55.

Der Value at Risk-Wert für das Summenrisiko lässt sich allerdings nur über eine Monte-Carlo-Simulation bestimmen; mit einem Stichprobenumfang von 2 Millionen Simulationen ergibt sich hier der Wert

VaR0,005(R1 + R2) = 1892,83 > 1797,53 = VaR0,005(R1) + VaR0,005(R2),

also trotz einer sogar (schwach) negativen Korrelation zwischen den Risken ist ein deutlicher Risiko-Konzentrationseffekt zu verzeichnen.

Fazit:

Die in der Literatur zu findende Veranschaulichung der Korrelation ist nur für die Extremfälle einer Korrelation von +1 oder –1 mathematisch korrekt, in allen anderen Fällen jedoch nicht. Dies trifft auch dann zu, wenn sich die tatsächliche Korrelation nur marginal von den Extremwerten unterscheidet. Diese Art von „Unstetigkeit“ kann man im übrigen auch bei der bivariaten Normalverteilung in einem anderen Kontext beobachten, nämlich beim so genannten Tail-Abhängigkeitskoeffizienten λ (siehe etwa McNeil et al. (2015), Kapitel 7.2.). Ist die paarweise Korrelation +1, so ergibt sich λ = 1, in allen anderen Fällen aber λ = 0, ohne fließenden Übergang.

Literatur:

  1. R. Doff: Risk Management for Insurers – Risk Control, Economic Capital and Solvency II. Second Edition 2011, RISK Books, London.
  2. H. Gründl und M. Kraft (Hrsg.): Solvency II - Eine Einführung. Grundlagen der neuen Versicherungsaufsicht. 3. Auflage 2019, Verlag Versicherungswirtschaft, Karlsruhe.
  3. W.R. Heilmann und K. J. Schröter: Grundbegriffe der Risikotheorie. 2. Auflage 2014, Verlag Versicherungswirtschaft, Karlsruhe.
  4. A. J. McNeil, R. Frey und P. Embrechts: Quantitative Risk Management: Concepts, Techniques and Tools. Revised Edition 2015, Princeton University Press, Princeton, N.J.
  5. D. Pfeifer: Correlation, tail dependence and diversification. In: C. Becker, R. Fried, S. Kuhnt (Hrsg.): Robustness and Complex Data Structures. Festschrift in Honour of Ursula Gather, 301 - 314, Springer, Berlin 2013.
  6. D. Pfeifer: Hält das Standardmodell unter Solvency II, was es verspricht? In: R. Koch, M. Weber, G. Winter (Hrsg.): Der Forschung – der Lehre – der Bildung. 100 Jahre Hamburger Seminar für Versicherungswissenschaft und Versicherungswissenschaftlicher Verein in Hamburg e.V., 2016, Verlag Versicherungswirtschaft, Karlsruhe, 767 - 788.